Профилактический медицинский осмотр – это комплекс мероприятий, который проводится в целях раннего, а самое главное, своевременного выявления факторов риска и заболеваний, а также для выявления немедицинского употребления наркотических средств и психотропных веществ.
Профилактическому медицинскому осмотру подлежат все граждане достигшие 18 лет.
Профилактический медицинский осмотр проводится:
- бесплатно
- ежегодно
- в поликлиниках по месту жительства (прикрепления)
- на фельдшерско-акушерских пунктах (ФАП)
- врачебных амбулаториях
Документы необходимые для прохождения профилактического медицинского осмотра:
- Паспорт
- Полис
- СНИЛС
Запись на профилактический медицинский осмотр осуществляется через:
- Посредством обращения в поликлинику, ФАП, врачебную амбулаторию
- Через терминал записи на прием к врачу в холле регистратуры
- На приеме у врача специалиста
- Колл-центр медицинской организации по телефону 58-82-30
- Контакт-центр “Службы 122” или по телефону 333-777
- По телефону единой городской регистратуры (8442)33-03-03
- Единый портал государственных и муниципальных услуг (ГОСУСЛУГИ)
А также:
- по адресу ул. им Константина Симонова, д. 21: 58-82-30 (регистратура); 78-41-53 и 78-41-54 (ОМП каб. 104), 53-36-66
- по адресу ул. Колпинская, д. 3/5, 58-51-04 (регистратура); 92-31-28 (ОМП каб.39)
- по адресу ул. Байдакова, д. 10а, 53-36-90 (регистратура)
График проведения профилактического медицинского осмотра:
- По адресу ул. им Константина Симонова, д. 21: каб. № 104, ежедневно с 8:00 до 20:00, суббота с 8:00 до 13:00
- По адресу ул. Колпинская, д. 3/5: каб. № 39, ежедневно с 8:00 до 20:00, суббота с 8:00 до 13:00
Результаты профилактического медицинского осмотра
2019 год
Всего: 6354 чел. I группа здоровья – 5842 чел. II группа здоровья – 2 чел. III группа здоровья – 510 чел.
2020 год
Всего: 887 чел. I группа здоровья – 864 чел. II группа здоровья – 2 чел. III группа здоровья – 21 чел.
2021 год
Всего: 13656 чел. I группа здоровья – 12779 чел. II группа здоровья – 31 чел. III группа здоровья – 846 чел.
2022 год
Всего: 16173 чел. I группа здоровья – 15067 чел. II группа здоровья – 127 чел. III группа здоровья – 979 чел.
2023 год
Всего: 10895 чел. I группа здоровья – 10134 чел. II группа здоровья – 44 чел. IIIа группа здоровья – 663 чел. IIIб группа здоровья – 54 чел.
2024 год
Всего: 18937 чел. I группа здоровья – 18021 чел. II группа здоровья – 45 чел. IIIа группа здоровья – 795 чел. IIIб группа здоровья – 76 чел.
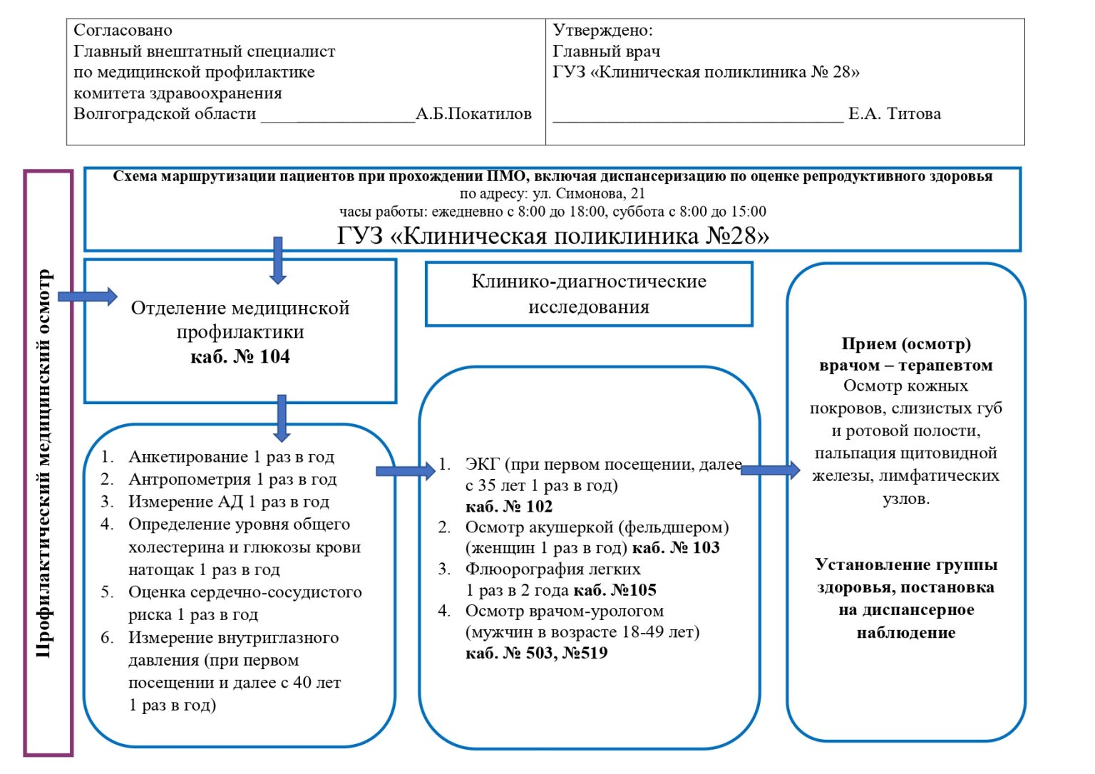
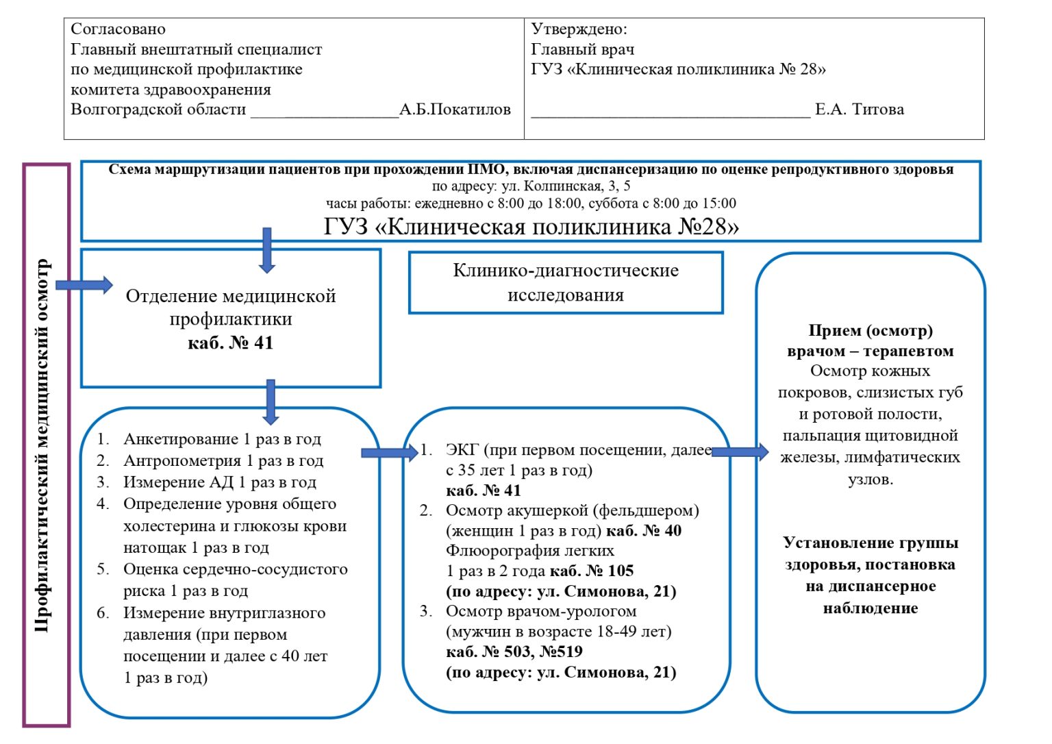
Схема маршрутизации пациентов для прохождения профилактического медицинского осмотра
По адресу ул. им Константина Симонова, д. 21:

По адресу ул. Колпинская, д. 3/5:
